认识量子力学中的几个基本方程中国物理学会期刊网
量子力学经过了一百年的发展,大浪淘沙,这几个方程经受了时间的考验。从这几个刻在墓碑上的数学物理方程,也可看出一个科学理论的核心支柱,其实是非常简洁明了的。
图源:pixabay
从1999年开始,我一直在香港大学讲授量子力学。2025年是量子力学诞生一百周年,出现了不少纪念文章,也有一些纪念活动。有不少颇为动人的传奇故事,让人对那个时代充满遐想。但每当翻开教科书,看到教科书中的每一个方程时,我总觉得和那些传奇故事还是有很大的差异。在本文,我想借助量子力学成型后的几个主要方程,来谈谈与之相关的几个主要创始者。我有意避开了主要的物理实验,尽管它们在量子力学的建立过程中都起过重要作用。
我仅探讨经过百年的发展和精炼,支撑这个理论的几个最基本方程的发现和发展过程,它们在量子物理建立过程中的作用,以及教学中常忽视的内容,甚至是误解。从这几个刻在墓碑上的数学物理方程,也可看出一个科学理论的核心支柱,其实是非常简洁明了的。
普朗克常数h/ℏ的出现
现代量子论的第一缕曙光,毫无悬念地应该归结于德国物理学家马克斯⋅普朗克在1900年提出的有关黑体辐射的电磁辐射率和频率ν的关系式[1]:
这个公式和当年的实验数据完美吻合,也和当时的两个高频和低频极限下的经验公式完全一致。让人不得不相信和接受这个方程的正确性。这个方程中首次出现了两个新的物理常数,即普朗克常数h或ℏ=h/2π和玻尔兹曼常数kB。c是光速。然而,这个公式中的hν有能量量纲,它的物理含义超出了当时的物理认知,是经典理论无法解释的。普朗克发现,如果用当时的玻尔兹曼统计理论,辐射光中含有粒子的话,它们的能量必须是分立的,即量子,这对经典物理来说是不可能的,而且是难以接受的。对经典粒子来说,能量都是连续分布的。直到1905年爱因斯坦提出光由光子组成,hν为光子的能量,并用它成功解释了光电效应。
将光理解为有粒子属性的光子,无疑具有革命性的思想。它的真正理解是量子力学诞生之后,1927年英国理论物理学家保罗⋅狄拉克完成了电磁场的能量量子化理论,证实了爱因斯坦的猜想,并提供了坚实的理论基础。1925年后发展起来的量子力学和量子统计理论,将光子看成是满足玻色—爱因斯坦统计的玻色子,可以推导出普朗克的方程,证明它是完全正确的。现在我们知道,这个超前出现的物理公式的适用范围可以从实验室的小炉子到整个宇宙的微波背景辐射,具有令人难以置信的普适性。可以说,普朗克常数h的现身是现代量子论的第一个标志,后来刻在了普朗克的墓碑上(图1)。
图1 马克斯⋅普朗克的墓碑。上面刻有普朗克常数的数值,h=6.62×10-34 W·s2。现在在国际标准单位制中h是被定义的物理基本常数
在这个方程中同时引入的另外一个常数kB,后来被称为玻尔兹曼常数,而不是普朗克第二常数。普朗克在他的诺贝尔奖演讲中还专门强调,“这个常数通常被称为玻尔兹曼常数,但据我所知,玻尔兹曼本人从未提出过它——这很奇怪,原因可能是,从玻尔兹曼偶尔的言论来看,他从未考虑过对这个常数进行精确测量的可能性”[2]。kB可由理想气体常数R和阿伏伽德罗常数NA的比值来确定,kB=R/NA。
当时R是已知的,普朗克从黑体辐射的实验数据精确给出了NA,并由法拉第常数推出了基本电荷e的数值,其精度也远高于当时的测量值。一个方程中同时引进了两个被现代国际单位制SI中定义的基本物理常数(另外两个是光速c 和基本电荷e),它同时还暗示了可能出现新的科学。这是科学史上绝无仅有的个例。因此,它的重要性无论怎么评价,都不过分。这也可以理解为什么二战后德国国家科学机构被命名为马克斯⋅普朗克学会和众多的马克斯⋅普朗克研究所,用以纪念普朗克的伟大科学贡献。
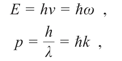
普朗克关系和德布罗意关系
普朗克关系是指粒子能量和频率的关系式:E=hν。有时也被称为普朗克—爱因斯坦关系,起初主要是从普朗克公式出发,强调光的粒子属性的一面。经典物理中粒子有两个物理量来描述,能量和动量,而基于麦克斯韦方程的电磁学理论认为光是一种电磁波,它也有两个物理特征量,频率和波长。1924年法国青年学者路易⋅德布罗意在他的博士论文中提出了粒子动量和波长λ的关系式。这两个公式一起[3]
把大家熟悉的光的波动特性和粒子特性结合统一起来。它们揭示了物质的波动性和粒子性的两个方面,即波粒二象性。他把相对论中粒子的能量和动量组成的四维矢量,推广到频率和波矢组成四维矢量。这两组不同物理量之间的联系是普朗克常数。德布罗意认为,光子也有个微小的质量,这样有质量的粒子如电子等和光子一样都具有波的特性,波是物质的一个基本属性,并提出了相位波(phase wave)的概念。相位波本身并不带有能量,但有波长和相速度。
利用驻波的特性,德布罗意可以推导出半经典的玻尔—索末菲量子化条件,和相空间的量子化条件,在量子理论方面迈出了极为重要的一步。人类第一次认识到微观粒子同时具备粒子和波动的性质,将经典物理的动量和能量的概念以及波的频率和波长统一到微观的粒子上,是物质的基本构成,从而揭开了量子世界的神秘面纱。当频率和波长和粒子的概念联系上后,粒子其实也不是原来意义上的概念了。如光子实际上是光的电磁场量子化后的一种能量振动模式,每个振动模的能量是分立的,既不是粒子也不是波,超出了粒子和波的经典图像。德布罗意的博士论文被称为史上最重要的博士论文。
德布罗意的思想当时并没有实验支持,但是影响极大。这一点和有些人一直强调的实验观测推动物理发展的论断不同,在关键的节点上,原创理论的突破往往是超前的。保罗⋅朗之万将德布罗意的论文送了一份给爱因斯坦,爱因斯坦读后立刻意识到这是期待已久的理论突破,并向他的同行推荐,如玻恩。德布罗意的思想对量子物理的产生和发展起到了积极推动作用,一年后直接激励了薛定谔给出描写物质波的薛定谔方程,创立了波动力学。“相位波”概念只是过渡性的理论,但这两个方程留下来了,有了新的物理含义。他的理论提出了四年后,德布罗意获得了1929年诺贝尔物理学奖。
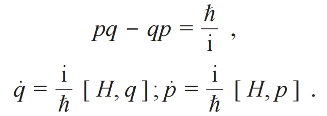
矩阵力学:对易关系和运动方程
在1925年夏天开始建立的矩阵力学中,两个代表性的数学方程是德国哥廷根大学的玻恩和他的学生约当提出的基本对易关系(注:在许多教科书中,把基本对易关系称为正则对易关系,我觉得基本对易关系更确切些。)和运动方程[4]:
早在1923年至1924年冬季,玻恩给出了一系列有关“原子力学”的讲座,探讨旧量子论的局限性并规划一个建立“终极原子力学”的计划。1924年他发表了“关于量子力学”一文[5],历史上首次引进“量子力学”一词,他给出了新的量子力学有别于旧量子论的条件:自然中所有基本变化必须是非连续的,作用变量的改变应该是普朗克常数的整数倍。
1925年6月,玻恩和他的学生约当,完成了一篇量子转变过程的微扰理论,其中就用到了分离的“量子矢量”,即矩阵元[6]。到了7月份,海森伯在德国北方小岛度完假后,将他的手稿交给玻恩,看是否值得发表,就去了英国剑桥访问。海森伯在文章中结合了玻恩和约当的力学自由度不连续表示和玻尔的虚拟振子的思想,利用傅里叶变换试图建立发射光谱频率强度和玻尔原子模型中原子轨道频率之间的关系,并发现了一些求和规则。同时利用托马斯和库恩对玻尔—索末菲量子化条件的修正,得到了谐振子的本征值,包括零点能,这是著名的“一人文章”[7]。
玻恩在阅读了海森伯的手稿后,立刻认识到这些求和规则实际上是矩阵的运算关系。要得到海森伯的结果,动量p和位置q不能对易,需要满足基本的对易关系。玻恩觉得需要一些更严格的证明,于是先去找他的前助手泡利,泡利直接拒绝了玻恩,还说不希望玻恩的数学毁了海森伯的物理思想。玻恩只好找自己的学生约当,约当在几个星期内完成了证明,并且同时建立了运动方程,玻恩和约当的文章9月份寄出,这是著名的“二人文章”[4]。
到11月份,把“二人文章”做了推广并加上部分应用,玻恩、海森伯和约当又写了一篇“三人文章”[8]。至此,这三篇“一人文章”“二人文章”“三人文章”的问世,正式标志矩阵力学的成型。而基本对易关系的建立,标志了新的量子力学的诞生。它第一次揭示了物理算符的不可交换性,同时赋予了普朗克常数h不同寻常的物理含义,成为量子物理的基本标示。玻恩十分自豪自己“是写下不可交换符号的物理定律的第一人”,是他“研究生涯的高潮”。而运动方程应该是约当对应经典的哈密顿方程首先推导出来的。但这两个方程的重要性因为其数学特性,当时明显被人低估了。现在,这两个方程是量子力学的基本假设,其实是不可推导的。
虽然一起合写了“三人文章”,但海森伯本人对玻恩和约当的数学部分的内容并不了解,甚至有所保留。这反映在他当时写给泡利的信中:我身处一个思维和感受与我截然相反的环境,我不知道自己是否太笨,无法理解数学。哥廷根分裂成了两个阵营,一派像希尔伯特……他们谈论矩阵引入物理学所带来的巨大成功;而另一派,像弗兰克,则认为我们永远无法理解矩阵。现在常有人提到海森伯不懂矩阵,却建立了矩阵力学,应该是言过其实了。如果青年海森伯将他的手稿交给玻尔,而不是玻恩,那可能又是另外一个命运了。当然,历史没有如果。
然而,另外一个天才的横空出世,让整个学界震惊。英国剑桥大学当时年仅22岁的研究生狄拉克,在1925年底,独自一人发表了题为《量子力学的基本方程》的文章[9]。在那年8月狄拉克的导师拉尔夫⋅福勒(Ralph Fowler)教授交给他海森伯的一人文章,3个月后,狄拉克利用经典力学中泊松符号的关系,导出了基本对易关系,并建立了运动方程。文章简明清晰,一出手,就是教科书级别的。
按杨振宁的说法是“秋水文章不染尘”。这个工作应该独立于玻恩和约当的工作,而且早于那篇著名的三人文章。狄拉克的博士论文直接以《量子力学》为题,这也是物理学史上的另一篇最重要的博士论文。玻恩在读到狄拉克的文章后,十分震惊。事后,他承认这是他科学生涯中最为震惊的事件之一,他以为自己和学生创立了矩阵力学,结果却要和一个从不知名的小青年来分享。当然,碰到天才是痛苦的,即使他自己也是一位大学者。所以,矩阵力学可以说是德国哥廷根的玻恩、约当和海森伯,以及英国剑桥的狄拉克分别独立地发展起来的,而海森伯的一人文章是重要的催化剂。
图2 马克斯⋅玻恩的墓碑,上面刻有基本对易关系


