从欧拉到人工智能:数学常数的统一公式Tomer Raz
数学家们提出了一个自动化框架,用于统一同一常数(如π)的多种表达形式迥异、但有深层关联的数学公式。
历史上有关Π数值计算的著名数学公式:
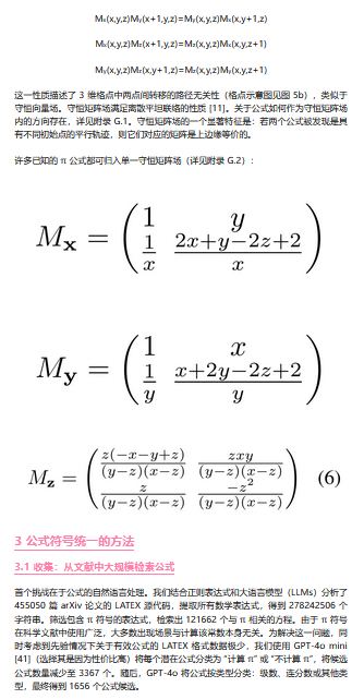
守恒矩阵场(CMF,conservative matrix field)包含文献中许多著名的公式:
数百年来,常数 π 一直吸引着学者们的关注,催生出众多用于计算它的公式,例如无穷级数和连分数。尽管这些公式各具重要性,但许多公式之间的内在关联仍未被揭示,缺乏能够带来更深层次理解的统一理论。统一理论的缺失反映了数学和科学领域的一个普遍挑战:知识通常通过孤立的发现积累,而深层次的关联往往隐藏不显。在本研究中,我们提出了一个用于数学公式统一的自动化框架。该系统结合了大语言模型(LLMs)用于系统性公式收集、LLM - 代码反馈循环用于验证,以及一种新颖的符号算法用于聚类和最终统一。我们以 π 为标志性案例展示了这一方法 ——π 是符号统一的理想测试平台。将该方法应用于 455050 篇 arXiv 论文后,我们验证了 385 个独特的 π 公式,并证明了其中 360 个(94%)公式之间的关联,其中 166 个(43%)可由单一数学对象推导得出 —— 该对象将欧拉、高斯、布龙克尔(Brouncker)的经典公式与 “拉马努金机器” 通过算法发现的新公式联系起来。我们的方法可推广至其他常数,包括 e、ζ(3) 和卡塔兰(Catalan)常数,这表明AI人工智能辅助数学有望揭示隐藏结构并实现跨领域知识的统一。
对 π 的首个严格近似可追溯至公元前 250 年左右的阿基米德,他确定了 π的取值范围为223/71 < π < 22/7
[16]。现代 π 近似计算采用了更复杂的公式。例如,源于拉马努金公式 [48] 的楚德诺夫斯基(Chudnovsky)算法 [15],至今仍是创造精度记录的关键工具;同样,BBP 公式 [6] 因能够直接计算特定数位而无需先计算前面的数位,也具有重要意义。此类突破推动了计算机科学的根本性进步,如高精度算术 [7]、进化优化 [35] 和椭圆曲线密码学 [39]。近年来,研究人员开发出能够生成大量数学常数公式猜想,有时甚至能提供证明的计算机算法 [9, 17, 46]。
数百年来,与 π 相关的研究成果层出不穷,这引出了一个长期存在的问题:这些公式之间究竟存在怎样的关联?这个问题至关重要,不仅能避免重复发现(例如,兰格Lange 1999 年提出的公式 [37],实际上布龙克尔Brouncker勋爵早在 1656 年就已通过求积连分数推导得出 [42])。许多等价公式初看之下差异巨大,一个典型例子是欧拉的连分数,它可提供无穷级数的等价表示 [23]。这种复杂情况凸显了对这些关系进行系统性统一的迫切需求。
迄今为止,人工智能在数学领域的应用主要集中在自动定理证明 [44, 56]、自动猜想生成 [3, 24, 25, 40, 46]、回归分析 [31, 32, 55],以及近期兴起的用于数学发现的 LLM - 工具集成 [27, 29, 50, 59]。然而,截至目前,尚无研究致力于数学知识的符号统一问题。
图 1:数个世纪以来的代表性 π 公式
公式来源包括:桑伽马格拉马的马德哈瓦(Madhava of Sangamagrama,14/15 世纪,印度)、约翰・沃利斯(1656 年,英国)、卡尔・弗里德里希・高斯(1813 年,德国)、斯里尼瓦瑟・拉马努金(1914 年,印度)、拉约尼Raayoni等人(《自然》,2021 年)
在本研究中,我们提出了一个用于大规模收集、识别和统一数学公式的系统(图 2)。该研究利用了基于大语言模型的内容理解最新进展、新发现的守恒矩阵场(CMFs)概念 [21, 58],以及一种名为 UMAPS 的新颖数学算法 —— 该算法通过符号结构映射实现统一,利用上边缘等价性(coboundary equivalence)数学原理寻找并证明公式之间的关联。为展示这一方法,我们选择了 π 计算公式作为符号案例研究。我们从文献中提取并验证了 385 个独特的 π 公式,发现其中 43% 对应于单一守恒矩阵场内的不同轨迹 —— 我们推测,一个或少数几个独特的守恒矩阵场能够统一所有与 π 计算相关的知识(见第 5 节)。
图 2:数学知识统一的自动化方法


