他一封公开信召唤万千学子归国央视新闻客户端
2/25/2026
“我们中国要出头的
我们的民族再也不是
一个被人侮辱的民族了!
我们已经站起来了
回去吧赶快回去吧!
祖国在迫切地等待我们!”
这段铿锵有力的文字
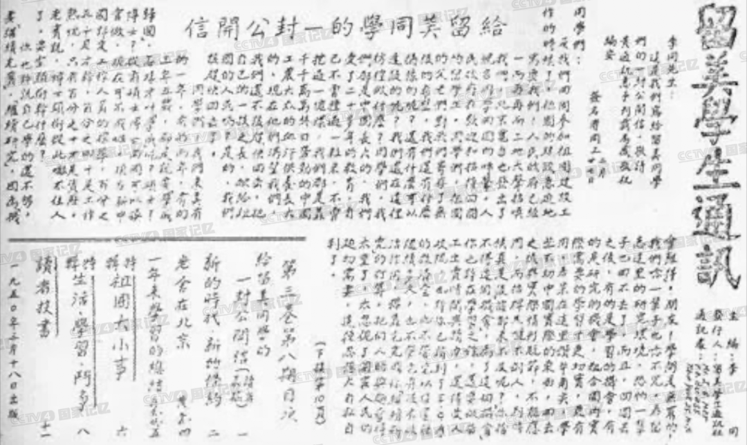
《给留美同学的一封公开信》
这封信一经公开
就在中国留学生中引起轰动
《给留美同学的一封公开信》
牵头组织起草这封公开信的
是25岁的朱光亚
△青年朱光亚
他成为中国首枚原子弹研制的
技术总负责人
被誉为中国核武器研究领域的
“众帅之帅”
“我这一辈子做的就一件事,
搞中国的核武器。”
15年前的今天
朱光亚因病于北京逝世
今天我们一起
向“两弹一星”元勋朱光亚院士致敬
我们会永远记住您的名字!
缅怀!致敬!


