百年定时炸弹,被中国实验室拆掉了?差评
实习生乱加试剂,发现的反应要得诺贝尔奖了?
事情是这样的,前段时间,国科大杭高院张夏衡团队在《 nature 》上发表了一篇论文。在这篇论文里,提到了一种新的制药合成方法,绕开了传统制药过程中容易发生爆炸的重氮化合成路径,还能大幅降低制药成本。
本来差评君刷到的时候,还没太当一回事儿,但不久之后,我发现网上的讨论把这事儿是越传越邪乎了。
有人说这个反应直接改写了百年教科书,之前一百多年里全世界的有机化学毛衣都穿反了;还有人说这种新方法可以在现在的基础上把药的价格打下来一半,拿个诺奖都是轻轻松松。
甚至有传言这个成果是实习生违规操作,把硝酸硫酸一通乱加,本来应该直接爆炸的,结果意外得到了成功的结果,简直是原汁原味的 “ 炸药奖精神 ”,诺贝尔本人来了都得敬酒。
那么,这篇论文真的是诺奖级的成果吗?发现它的过程又真的是像大家说的一样大力出奇迹吗?
我们来聊一聊,传说中的 “ 诺奖级 ” 反应,到底是个啥?
这篇论文的主要成果,是发现了一种绕开重氮化反应,转化芳香胺的新流程。所谓芳香胺,指的是氨基和芳香环直接相连的化合物。其中,最经典的芳香胺是一个苯环和一个氨基组成的苯胺,它结构简单,也便宜易得。
因此,也是制药工业中最常用的原料。
当然,单靠苯环自己肯定不能当药使,只有 “ 组装上 ” 各种各样的官能团,也就是插在 “ 环 ” 上的这些 “ 树枝 ”,才能成为某种药物。所以,在开发或者合成药物的过程中,我们经常需要把苯胺的氨基换成其他的基团。
但要把氨基取下来,可没那么容易。
氨基和苯环之间的 C - N 键很紧,非常难拆。其中很重要的一个原因是氨基属于经典的 “ 推电子基团 ”,顾名思义,就是会把电子云往苯环的方向推。
与之对应的,苯环也有个力在把氨基往回拽。就像拼乐高的时候使劲把积木往下压,压的越紧,拆开就越难。
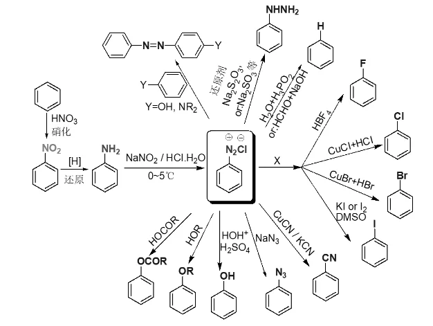
在传统工艺流程里,解决这个问题的,是一种一百多年前发明的 “ 古法 ” :先重氮化,再还原。这种方法的第一步,是往芳香胺里加盐酸和亚硝酸钠,生成一种叫做重氮盐的中间体。
重氮盐的性质非常特殊。
它的氮元素连着苯环,又处在一个非常不稳定的状态,随时可能 “ 断线 ” 放出氮气。一旦往重氮盐里加入金属卤化物,比如氯化铜,就能把氮原子一把薅下来,替换上我们想要的元素。
换句话说,重氮化反应就像是一个万能中转站。
把苯胺放进去,就几乎可以变成任何想要的东西 —— 溴、氯、氰、羟基,甚至是氢本身,都能装上去。
不过,众所周知,强大的魔法往往伴随着风险。重氮化的合成路径虽然简单经典,但在工业生产中却是一个非常 “ 娇贵 ” 的反应。
其中最让人忌惮的,是重氮盐的 “ 暴脾气 ”。
在干燥状态下,重氮盐的化学性质极不稳定,哪怕是轻微的震动、摩擦,都可能引起爆炸。
可能有差友会问,那我把它配成溶液不就行了吗?
很遗憾,溶液状态的重氮盐,也一样难伺候。除了易燃易爆之外,重氮盐还有另一个让人头疼的性质:在室温下会自行分解。因此,为了保证重氮盐在反应中不变质,反应的温度必须保持足够低。
但与此同时,重氮盐的熔点又普遍很低,一旦温度低过熔点,溶液里的重氮盐就会析出,变成易爆的固体黏在容器内壁上。(温度太低又会导致重氮盐的溶解度下降,溶液一旦过饱和,溶液里的重氮盐就会析出,变成易爆的固体黏在容器内壁上)
总结一下就是,温度太低变炸药,温度太高成废料,简直是一根筋两头堵。
为了应对这些麻烦,在工业生产中,必须用一套非常复杂的装置,精确控制温度和给料速度,如果哪一步出了差错,就可能发生冲料事故,也就是俗称的 “ 扑锅 ”,严重的甚至会引发爆炸。
这种听起来都危险的生产环节,显然也对应着非常强力的监管。在我国应急管理部编制的危险化学品分类信息表里,随处可见重氮盐的身影。各级应急管理单位对企业的例行安全生产巡查中,重氮化也几乎是必查的重点对象。
对工厂来说,每多一条重氮化工序,就多一份安全风险和成本压力。在大规模的工业生产里,可以说是既贵又麻烦,还绕不开的一个步骤。所以,自从一百多年前重氮化的合成路径被发现以来,科学家们就一直琢磨着怎么改造这个反应。
而张夏衡老师团队这篇论文最重要的成果,就是找到了一个比重氮盐更安全,更好用的 “ 万能中转站 ”。
按照论文里的说法,他们最开始的想法,其实是给芳香胺上的氨基装上两个强吸电子基团,削弱芳香胺中的 C - N 键。可能听起来有点云里雾里,但解释起来其实并不复杂。我们前面提到过,氨基很难取下来,是因为氮原子在被苯环往回拽。
而张老师团队的思路就是在氮的另一边装上两个这样的基团,像拔河一样往反方向拽。两个对一个,优势在我。
这样拉力一抵消,再加入别的反应物,也许就能直接把氨基拽下来了。实验团队最先尝试的是酰基和磺酰基。但在试了好几种基团后,实验都无一例外的失败了。于是开始把注意力转移到了硝基上。
而这思路一转,神奇的事情就发生了。


