清华校友出手,终结ResNet十年统治新智元
2026年架构革命的枪声已经打响!ResNet用十年证明了「加法捷径」能救训练,但也暴露了「只加不减」的天花板。DeepSeek新年王炸之后,普林斯顿和UCLA新作DDL让网络学会忘记、重写和反转。
新年第一天,DeepSeek祭出大杀器——mHC,对「残差连接」做出了重大改进,引爆全网。
紧接着,另一篇重磅研究诞生了!
斯坦福著名教授Christopher Manning读完后直言,「2026年,将成为改进残差连接之年」。
这篇来自普林斯顿和UCLA新研究,提出了一个全新架构:Deep Delta Learning(DDL)。
它不再把「捷径」(shortcut)当作固定的恒等映射,而让它本身也能学习并随数据变化。
一个是mHC流形约束超连接,一个是DDL深度增量学习,几乎在同一时间,传递出一个强烈的信号:
残差连接,正在进入一个必须被重新设计的时代。
那么,这篇论文主要解决了什么问题?
ResNet用了十年「加法」
终于被改写了
2015年,ResNet(残差网络)横空出世后,「加法捷径(shortcut)」几乎成为了深度网络的默认配置。
它解决了梯度消失的难题,撑起了现代深度学习的高楼。
ResNet通过残差学习,解决了深度神经网络训练中的核心难题——层数加深,AI性能不升反降。
ResNet为什么能训得这么深?
因为它只做了一件极其「保守」的事,当深度网络什么都学不会的时候,至少别把输入弄坏。
如今,无论是CNN、ViT,还是各种混合架构,那条「直接把输入加回去」的残差连接,成为了标配。
这套架构设计稳定的同时,也带来了一个后果——
神经网络几乎只会累加信息,却很难修改状态。
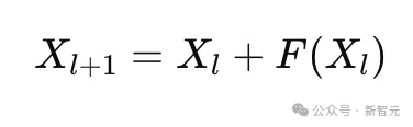
经典ResNet核心更新公式非常简单:
从动力系统角度看,它等价于对微分方程做一步前向欧拉离散。
这意味着,对应的线性算子所有特征方向的特征值都是+1,网络只能「平移」状态,而不能反转、选择性遗忘。
换句话说,旧特征很难被彻底清除,中间表示几乎不会被「反转」,深度网络在表达复杂动态时,显得有些笨重。
如果「捷径」永远只是恒等映射,深度神经网络不够灵活,本质上只能「加法叠加」。
来自普林斯顿和UCLA的最新论文,第一次系统性提出——
这条「捷径」,其实限制了深度神经网络的想象力。
此外,近期一些研究还指出,缺乏负特征值,是深度网络建模能力的隐形天花板。
让深度网络学会「忘记」
如果允许「捷径」本身可以被学习,可以选择性遗忘,甚至可以反转某些特征,会发生什么?
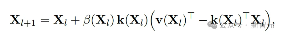
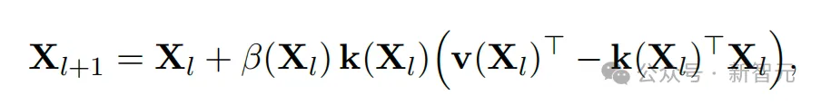
DDL给出的答案是:用一个rank-1的线性算子,替代固定的identity shortcut。
简单来说,DDL把ResNet的「固定加法捷径」,升级成了一个可控的状态更新机制。
其核心变化只有一个——
每一层不再只是加新东西,而会先决定:要不要保留旧状态。
在这个全新架构中,引入了一个非常关键的标量β,这个数值决定了当前层如何对待已有特征。
DDL不再把隐藏状态,看成一个向量,而是一个矩阵
这个设计,让网络状态具备了「记忆矩阵」的含义,也为后续的Delta Rule的对齐埋下了伏笔。
其核心更新公式如下所示:
而DDL真正的关键所在,是Delta Operator,让「捷径」不再是I,而是
这是一个rank-1 的对称线性算子,其谱结构异常简单。即d−1个特征值恒为1,只有一个特征值是1−β。
换句话说,一个标量β,就能精确控制某个特征方向的命运。
DDL将三种几何行为,统一在一个模块中,以下当β ∈ [0, 2]时,不同情况——
当β接近0时,DDL什么都不做
这一层几乎被跳过,DDL的行为和ResNet完全一致,非常适合深层网络的稳定训练。
当β接近1时,DDL会先忘掉,再写入
这时,网络会主动「清空」某个特征方向,再写入新的内容,类似一次精准的状态重置。
这也恰恰是,传统ResNet很难做到的事。
当β接近2时,DDL就会实现特征反转
某些特征会被直接「翻转符号」,深度网络第一次具备了「反向表达」的能力,这对建模振荡、对立关系非常关键。
值得注意的是,它还出现了负特征值,这是普通残差网络几乎不可能产生的行为。
目前,论文主要提出了DDL核心方法,作者透露实验部分即将更新。
残差网络,2.0时代
为什么这一方法的提出,非常重要?
过去十年,传统残差网络的一个隐患是:信息只加不减,噪声会一路累积。
DDL明确引入了忘记、重写、反转,让网络可以主动清理无用特征,重构中间表示,让建模成为非单调动态过程。
神经网络可以自己决定,如何处理输入的信息。


