拉索发现“天鹰助推器”中新网
记者22日从天府宇宙线研究中心获悉,位于四川稻城县的国家重大科技基础设施高海拔宇宙线观测站(英文缩写LHAASO,简称“拉索”)在天鹰座发现由脉冲星PSR J1849-0001驱动的脉冲星风云存在拍电子伏(PeV,即1015eV)伽马辐射。这一发现揭示该天体对粒子的加速效率逼近甚至超过理想磁流体条件下的理论极限,对经典脉冲星风云粒子加速理论提出严峻挑战。
天鹰助推器与拉索的艺术想象图。天府宇宙线研究中心供图
脉冲星风云是宇宙中高速旋转的磁化中子星——脉冲星——向周围空间吹出的近光速带电粒子风(脉冲星风),与周边介质猛烈撞击后形成的高能天体。长期以来,银河系内自转减慢光度最高的脉冲星所驱动的蟹状星云(Crab Nebula),一直是高能天体物理研究中的“标准烛光”。此前,拉索通过探测到来自蟹状星云的PeV伽马射线,推定其粒子加速效率至少达到理论极限的16%,确立了蟹状星云作为极端拍电子伏粒子加速器(PeVatron)的地位。这一成果被称为伽马射线波段蟹状星云的两大惊奇发现之一,引发学界广泛关注与讨论。
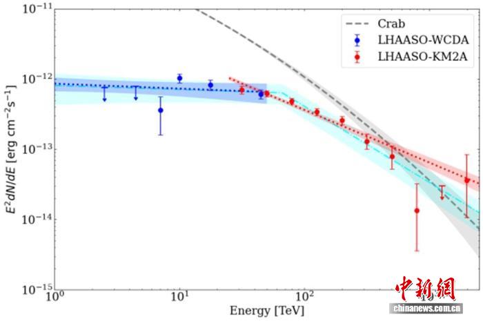
本次拉索团队的研究,聚焦于另一脉冲星风云系统PSR J1849-0001。该脉冲星位于天鹰座,其自转减慢光度比蟹状星云脉冲星低约50倍。按照传统脉冲星风云演化与辐射模型,较低的注入光度通常对应较弱的高能辐射光度。但拉索的能谱测量结果显示,该天体系统的伽马射线能谱不仅以幂律形式延伸至2 PeV,其PeV能段的伽马射线光度甚至比蟹状星云高出数倍。
这一现象表明,该系统将脉冲星风能量转化为超高能粒子的效率极高。研究团队结合X射线等多波段观测结果,对该脉冲星风云内部物理参数进行了严格约束,发现其内部粒子加速效率至少达到理论极限的27%,已超过蟹状星云的水平。研究人员指出,若粒子是在传统模型预期的终止激波处被加速到观测所需能量,其加速效率需超过100%——这一结论直接对当前脉冲星风云粒子加速理论构成挑战。也正因拥有惊人的粒子加速效率,该脉冲星风云被赋予“天鹰助推器(Aquila Booster)”的别称。
PSR J1849-0001区域伽马射线的能谱(即光子数量随能量的变化图),蓝色点和红色点分别表示拉索两个子阵列的测量结果。天府宇宙线研究中心供图
拉索的这项发现,不仅为银河系PeVatron候选体增添了一个极具研究价值的新案例,更揭示出:在看似不占优势的脉冲星系统中,宇宙仍能形成一台近乎“超常发挥”的极端粒子加速器。这暗示,如此极端的粒子加速效率可能并非蟹状星云这一特殊天体独有,而是脉冲星风云这类天体的共有特征。此项成果为完善脉冲星风云理论图景提供了重要线索,也将推动理论天体物理学家重新审视相对论性等离子体中的粒子加速机制及相关基本物理过程。


