喝啤酒等于吞下130个塑料颗粒?DeepTech深科技
春节假期估计不少人都喝过玻璃瓶装的饮料,多数时候人们也会天然地认为玻璃瓶应该比塑料瓶对人体更有益。然而,法国滨海大学的研究人员发现了一个让人不太舒服的事实:玻璃瓶饮料会比塑料瓶饮料产生更多微塑料。
研究人员买来了饮用水、可乐、冰茶、柠檬汽水、啤酒和葡萄酒,显微镜结果显示每一瓶里都有塑料。这些塑料不是掉进瓶子里的大块碎片,是肉眼根本看不到的微塑料。它们的直径比头发丝还细,只有几十微米大小,就飘在饮料液体里面。
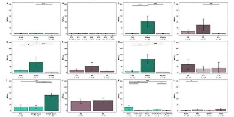
研究人员一共测试了七款饮用水的品牌,结果发现平均每一升水里有 2.9 个微塑料。可乐类汽水里每升有 31.4 个。
冰茶,28.5 个。柠檬汽水,45.2 个。啤酒,82.9 个。
最高的是一种啤酒,每升超过 130 个。葡萄酒稍微好点,每升 8.2 个。但是,红葡萄酒又比白葡萄酒高一些。
这意味着每当你喝下一瓶 330 毫升的啤酒,可能吞下了二三十个微小的塑料颗粒。那么,这些东西从哪里而来?一开始研究人员也认为是从塑料瓶而来。但是结果并非如此。当把不同包装的饮料放在一起做对比,塑料瓶装反而污染最轻。可乐在塑料瓶里每升只有 2.1 个微塑料,在易拉罐里有 3.4 个,在玻璃瓶里竟然有 103.4 个,差了将近 50 倍。
冰茶亦是如此,玻璃瓶装 86.3 个,塑料瓶只有 2.2 个。柠檬汽水更夸张,玻璃瓶 111.6 个,塑料瓶 1.5 个。
图 | 所研究饮料的微塑料污染水平(来源:相关论文)
为什么玻璃瓶比塑料瓶更脏?显微镜下的颗粒显示,它们大多是红色、黄色和蓝色。再仔细看,这些颜色和瓶盖的颜色竟然是一模一样的。研究人员把瓶盖拧下来放在显微镜下,结果发现新的瓶盖外面有一层油漆,上面全是细小的划痕。更糟糕的是,瓶盖内侧也能看到脱落的油漆碎片。这些碎片在运输过程中掉下来,顺着瓶口滑进了饮料里。
为了验证这个猜测,他们设计了一个实验。找到一批干净的玻璃瓶,装满过滤好的纯水,分别使用三种方式封口:第一种是直接使用新瓶盖盖上,第二种是把瓶盖先用气枪吹一遍再盖上,第三种是把瓶盖吹干净之后再使用水和酒精冲洗一遍再盖上。
结果显示:直接使用新瓶盖的那组,在每升水里检测出 287 个黄色颗粒,吹过的降到 105 个,又吹又洗的降到 86 个。研究人员还专门收集了冲洗瓶盖的水,发现每个瓶盖平均能洗下来 47.8 个颗粒。
也就是说,在你第一次拧开瓶盖之前,那些油漆碎屑就已经在里面了。当然,不是所有玻璃瓶都这么脏。葡萄酒就要好很多,因为葡萄酒大多使用软木塞,不是使用金属旋盖。而啤酒和汽水的玻璃瓶几乎全是金属旋盖,所以污染水平也就更高。
图 | 根据不同饮料品类分析的各种聚合物簇平均污染水平(来源:相关论文)
那么,喝下去这些塑料会怎样?研究人员在论文结尾写得很克制,他们说现在还没有足够的毒理学数据,无法确定喝这些饮料到底有没有健康风险。
但可以确定的是,这些颗粒确实会被人体喝进胃里,至于会不会被身体吸收?会不会在某个器官里堆积?会不会释放出油漆里的化学添加剂?这些问题目前还没有答案。
事实上,上述研究不是第一个发现饮料里有微塑料的研究。之前世界各地的科学家已经测过各种水、啤酒、软饮料,结果发现只要有包装就会有污染。这不过这次科学家们多问了一个问题那就是污染到底从哪里来,然后就找到了瓶盖的头上。
这篇论文发表之后,不少媒体表达了担忧。但是,科学家却自己先吵起来了。事情起因是 2025 年 2 月发在 Nature Medicine 上的一篇论文,该论文表示大脑里存在大量的微塑料,痴呆症患者的大脑里更多。结果很快就有人跳出来反驳。德国亥姆霍兹环境研究中心杜尚·马特里奇(Dušan Materić)博士直接在社交媒体开炮:“那篇论文简直是个笑话,大脑 60% 的成分是脂肪,脂肪在检测时会产生和塑料一模一样的信号。”
图 | 德国亥姆霍兹环境研究中心杜尚·马特里奇(Dušan Materić)博士的不同意见(来源:领英)
这不是个例。2024 年有一篇发在 NEJM 的论文表示那些颈动脉斑块里含有微塑料的人更容易出现心梗中风,后来被人发现根本就没有采集手术室的空白样本,那些塑料颗粒说不定是手术刀带进去的。还有一篇说睾丸里存在微塑料的论文,同行直接评价称“分析方法不够可靠,支撑不了结论”。
问题同样出现在检测方法上。科学家经常使用的热裂解气相色谱质谱,要把样品加热到汽化再分析。脂肪和聚乙烯之类塑料产生的烟雾分子长得太像,仪器根本分不清楚。澳大利亚昆士兰大学团队的一项论文直接指出,使用这种方法测试聚乙烯和聚氯乙烯目前根本不可行,他们甚至列举了 18 篇没有考虑这一风险的论文来指出此前人们都测错了。
这或许给微塑料研究扔了一颗重磅炸弹。我们以为塑料已经入侵全身,结果发现可能只是脂肪在仪器里冒了个泡。回到那瓶玻璃瓶汽水,来自法国滨海大学的研究人员确实在饮料里找到了塑料颗粒,显微镜下看得清清楚楚,颜色也对得上瓶盖油漆。但是,这些颗粒进入人体之后会怎样、是否会被当成脂肪、是否会被代谢掉、是否真的会堵在血管里,目前科学家还没有争出一个定论。


