上海光源新进展中国科学报
复旦大学/华东师范大学马余刚院士、复旦大学何建军教授团队,联合东京大学/北京航空航天大学梶野敏贵教授团队、中国科学院上海高等研究院范功涛研究员团队,基于上海光源激光-电子伽马源(SLEGS)装置上的光核反应研究取得新进展,为寻找标准宇宙学模型之外的新物理提供了线索。2月4日,相关研究成果发表于《物理评论快报》。
SLEGS装置示意图。研究团队供图,下同
根据大爆炸理论,宇宙大约在138亿年前起源于一个火球。随着宇宙的膨胀和冷却,当宇宙诞生约3分钟时,原初大爆炸核合成(BBN)开始,随宇宙膨胀温度密度迅速降低。不到半小时后,原初核反应就熄灭了。通过BBN,只有最轻的核素被合成到可观的数量,大约产生了75%的1H和25%的4He,以及极少量的2H(氘)、3He(氦3)和7Li(锂7)。这些遗迹为人们提供了一个独特的、得以窥见早期宇宙面貌的探针。
其中,作为BBN产生的第一种核素,氘是后续反应的关键原初物质和燃料。目前天文观测到的氘丰度的精度已达到约1%的水平,BBN理论预测和核物理数据也需要达到类似的水平。然而,产生氘的p(n, γ)D反应在BBN感兴趣能量下的截面还有很大的不确定度。精确测定该反应截面,对于研究关键宇宙学参数——重子数密度Ωbh2、原初氘丰度,以及在精确宇宙学背景下研究BBN及其稳健性都具有重要的物理意义。
D(γ, n)p光解反应是pn俘获反应的逆反应。研究团队对D(γ, n)p的光中子截面进行了高精度测量。结果显示,在Eγ=2.327~7.089 MeV能量范围内,其精度比之前类似实验的结果提高了2倍多。
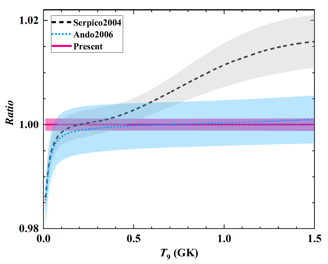
进一步地,研究团队使用重子有效场理论,对所有相关可用实验数据进行全局马尔可夫链蒙特卡洛分析,获得了前所未有的精确的p(n,γ)D反应截面和热核反应率,其精度比20年前的评估高出大约4倍。
在标准的ΛCDM BBN框架下,新的高精度反应率使Ωbh2的不确定度相对于以往结果降低了10%~16%。研究团队同时观察到,由原初氘丰度观测和宇宙微波背景辐射测量所约束的Ωbh2之间存在约1.2σ的矛盾,表明了提高DD反应率精度的必要性和重要性。
这项工作评估的p(n, γ)D反应率与之前结果的比较,带颜色的阴影表示不确定度。
研究团队表示,SLEGS于2021年12月建设完成并投入运行,是全球首个实现激光康普顿斜散射模式的激光康普顿散射的装置,具有更为便捷的能量扫描能力。这项实验证实了SLEGS全面具备了进行核天体物理光核反应实验测量的能力,也为在该装置上开展天体物理关键光核反应研究铺平了道路,并开启了新的研究方向。


