为什么需要傅里叶级数?思考理解这个世界
1/2/2026
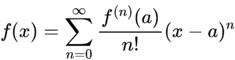
我们前面讲过泰勒级数的核心思想是通过导数多项式来逼近某个函数,利用各阶导数信息来指导函数的走向,最终不断逼近原函数。只要原函数f(x)在定义域上无穷阶可导,那么就可以在某个点上用泰勒级数对原函数进行等价替换。
这张神奇的图片表示什么?是我们正在用正弦和余弦函数逼近一个方波函数,通过很多曲线叠加变成矩形了,是不是有点反直觉?
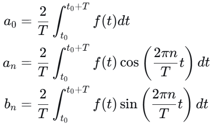
泰勒提出用泰勒级数来等价表示某个函数,同样地傅里叶也提出傅里叶级数来表示某个函数。不过傅里叶级数针对的是周期性函数,它的核心思想是通过一系列不同频率的正弦函数和余弦函数的线性组合来表示任意周期性函数。对于周期为T的函数f(t),可以通过图中的公式表示。可以看到原函数f(t)被无数个cos函数和sin函数等价表示,为什么要做这样的等价表示呢?肯定不是因为傅里叶无聊啊,而是因为原函数比较复杂,转化为傅里叶级数后能大大简化问题。
其中a0,a1,a2,...,an,b1,b2,...,bn的值可以通过图中的公式计算,t0可以取任意时刻,只要保证是完整的T区间即可。这里为方便可以取t0=0。为什么可以这样计算每个系数呢?核心思想就是利用了正交性。
那正交性怎么理解呢?下图中sin(3t)和cos(2t)两个函数,他们相乘后在周期范围内进行积分,最终的积分结果为0。可以看到因为有些积分为正有些积分为负,所以最终结果为0。两个函数相乘积分结果为0就是正交性,利用这个特性就能得到傅里叶系数的计算公式。
结合正交性我们来理解一下,当我们求a1时,可以两边同时乘以


